You’re trying to do what seems like it should be simple mental math. You can’t quite get there. You find yourself wondering, ‘why can’t I do math in my head?”.
For starters, most likely you can do math in your head. Most likely you already do, even if you don’t realize it.
Can you recognize symmetry? Can you tell the difference between biggest and smallest? Can you spot logical fallacies in an argument?
Math is a whole universe of abstract ideas, held together by the gravity of logic. The interaction of logical rules and relationships can become quite complex! But our brains are up to the challenge. If they can filter and process a constant flood of sensory information into our seamless experience of reality, they can figure out 54 – 29 = 25.
Instead of asking why you can’t do math in your head, you should ask yourself how you can. The answer to that question is…it depends on your brain.
Read on as we discuss what it means to do mental math, why it matters, and how you can build your mental math skills!
The Neurodiversity of Mental Math – There May Be a Reason You Are Struggling To Do Mental Math in Your Head
Neurodiversity means that ‘mental math’ is itself a kind of spectrum.
One person might answer a word problem in their head by visualizing themselves writing it down. Another might consider the logic inherent in the relationships between variables, arriving at a clear solution without a clear set of steps to get there.
Maybe you have Aphantasia, which makes visualization more difficult. Or maybe you have Dyscalculia, which affects number sense. These conditions will change what ‘mental math’ looks and feels like, but they don’t make it impossible.
You may also just feel like mental math isn’t your thing, but I’m here to tell you it’s everyone’s thing!
Think of it this way…
In a city, some paths are made for cars, while some are made for pedestrians. Many are made for both, or neither! But no matter your mode of transportation, there are always multiple valid paths to take to get to any particular destination.
In a math problem, there are also multiple valid paths to take to get to your answer. Depending on the path you take, you may need to write some things down or use a calculator. It doesn’t mean you can’t do it in your head. That’s just the reality of the path. Want to do it in your head? Try a different path.
Exploring Different Paths to a Simple Arithmetic Problem
Let’s start with some simple arithmetic. If I asked five different people how to do 54 – 29 in their head, they might give me five different explanations.
Person 1: Distribution & Order of Operations
- First, break the numbers into their components, 50 + 4 and 20 + 9
- Second, subtract the corresponding numbers, 50 – 20 = 30 and 4 – 9 = -5
- FInally, combine the results, 30 + (-5) = 25
Person 2: Balanced Equation Model 1
- First, increase the subtraction term from 29 to 30
- Second, do the subtraction, 54 – 30 = 24
- Finally, increase the result from 24 to 25 to balance the increase in your subtraction term
Person 3: Balanced Equation Model 2
- First, increase both terms by 1, giving us 55 – 30
- Then, do the subtraction, 55 – 30 = 25
Person 4: Decomposing and Counting Down
- First, break up 29 into 20 + 5 + 4
- Second, subtract 4 from 54, giving us 50
- Third, subtract 20 from 50, giving us 30
- Finally, subtract 5 from 30, giving us 25
Person 5: Decomposing and Counting Up
- First, count up from 29 to 30, giving us 1
- Second, count up from 30 to 50, giving us 20
- Third, count up from 50 to 54, giving us 4
- Finally, combine results, 1 + 20 + 4 = 25
To a certain extent, these different pathways to the solution are quite similar. They all involve decomposing numbers into simpler components, making them easier to work with in our heads. But there is plenty of nuance here to explore.
Breaking Down the Underlying Math Concepts
Let’s nerd out for a bit!
Person 1 uses the distributive property to their advantage, paying close attention to order of operations. If I were to write it out as an expression, it might look something like this…
It looks pretty crazy when you write it out. But remember, doing math in your head often means taking a different path than if you were doing it on paper.
Person 2 and 3 both use the balanced equation model from algebra. The main difference here is how they keep the equation balanced. Person 2 subtracts one from both sides of the equation, then adds one to both sides. Person 3 adds and subtracts 1 from the same side of the equation. In either case, they manipulate the terms to their advantage.
If I were to write them out as equations, they might look something like this…
Person 2:
Person 3:
Person 4 and 5 both use number decomposition with counting. Person 4 counts down (a.k.a subtracts) while Person 5 counts up (a.k.a. adds). It’s a subtraction problem, but most of us have an easier time doing addition in our heads. Person 5 takes advantage of that fact by rearranging the terms using the balanced equation model. Let’s take a closer look…
In algebra, we’re all about isolating variables. Here, we seem to be going backwards. But again, the path we take in our heads might need to look very different from the path we take on paper.
How To Improve Mental Math Skills Using Logic Problems and Examples
If you look up the definition of math, you’ll see variations on the same theme. Math is, essentially, the science of numbers. But numbers are themselves just an abstract concept whose meaning is entirely dependent on logic.
5 is bigger than 3. 8 is bigger than 5. Therefore, 8 is bigger than 3. Logical reasoning makes the world of math go round.
This means that building up our logic skills will absolutely build up our mental math skills, and vice versa. Fun Fact: Math majors consistently get the highest average score on the LSAT (a logic test used to get into Law School) compared with all other undergrad majors.
With that in mind, let’s take a look at some logic problems.
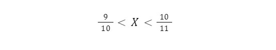
Example 1: The Logic of Fractions
Problem: What is a number greater than 9/10 but smaller than 10/11?
We could approach this in a number of different ways. The point here is not to show you ‘the right way’ to think about this. The point is to use logic, however we can, to get to a solution that we know is correct. Ultimately, the practice of finding your own path is how you get better. But let’s explore one of the many.
First, I’m going to write this as an inequality
I know that increasing the numerator increases the fraction, while increasing the denominator decreases the fraction. They work against each other, but not in a linear fashion. The best way to compare fractions is to get the denominators to be the same, but I’m going to try and logic my way to a solution without doing that.
Currently, I know that 10/11 is greater than 9/10. It is a given of the problem.
Knowing that, I can deduce that an equal value increase in the numerator and denominator results in a net increase in the value of the fraction.
Therefore, if I add 0.5 to both the numerator and denominator of 9/10, I should have a number that is greater than 9/10 while still being smaller than 10/11
In other words, a solution that satisfies the inequality is…
Mixing decimals and fractions is a big no no in the math world, so to clean this up, I’ll move the decimals over 1 place to the right (a.k.a. Multiply numerator and denominator by 10).
This is a weird way to solve this problem. But it also involves basically no computation, making it pretty easy to do in your head.
Example 2: The Logic of Exponents
Let’s dial up the difficulty a bit.
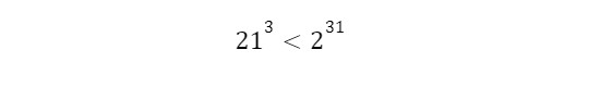
Problem: Arrange the following numbers from smallest to biggest.
If we had a calculator handy we could evaluate each number with ease. With pen and paper, it would be tedious doing all the multiplication, but it would be doable. How about multiplying 2 by itself 31 times in your head? Not ideal.
But I don’t have to evaluate each number to arrange them smallest to biggest. I just need to determine their positions relative to each other.
Let’s begin!
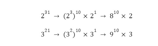
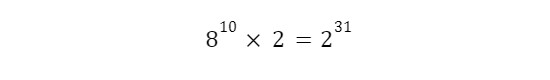
First, I know that I can rewrite exponential terms using exponent properties…
By expressing these two exponents in similar ways, they become easier to compare. Now I can clearly see…
I can’t quite get the other terms into a comparable form, but I’ve got a pretty good hunch that the following is true…
Just doing a few multiples of the exponential terms will prove that 321 is the smallest. Exponential terms get big quickly! But we need to be sure that 21^3 isn’t greater than our other exponential terms.
Let’s try this. I know the following is true.
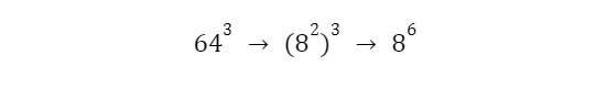
Now let’s manipulate 64^3 in the same way I did with the other exponential terms.
If..
and…
and…
and…
then…
Putting it all together…
It’s a lot of logic steps! Not for the faint of heart. And it requires a high level of comfort with manipulating exponents using exponential properties (a.k.a the logic of exponents). But it’s super minimal on the computational steps / difficulty.
Why Mental Math Still Matters
Humans evolved to use number sense and logical reasoning to their advantage long before the study of mathematics was created. Of course, math has come a long way since then. But the roots haven’t changed.
Maybe you’re not going to solve complex algebra problems just by thinking real hard. But even as you write them out or plug them into the calculator, it’s worthwhile to think them through in your head.
Maybe you can do some of the simple arithmetic, either to save time or as a check step. Maybe you can make an estimate to compare with your final answer. Maybe you can visualize the path a few steps ahead, helping to guide yourself to a solution.
Beyond being an aid in mathematical problem solving, practicing mental math builds up ancillary skills such as critical thinking, logical reasoning, visualization, number sense, etc.
These skills are what you carry with you beyond math class and into the real world. Depending on who you ask, these skills are the point of K-12 math!
How To Improve Mental Math Skills With Emergent Education Tutoring Services
At Emergent Education, we take a holistic approach to math tutoring. It’s never just about getting through the homework or prepping for a test. There is always something deeper to gain.
Personally, I love to get my students into the habit of doing math in their heads. It may seem contrary to the typical expectations around ‘showing your work.’ But mental math and writing things down are not mutually exclusive. Really, you want to develop good habits around both.
Whatever your needs, goals, interests, etc. Emergent Education math tutors can help you succeed in math while growing more thoughtful along the way.
Interested in improving your math skills?
Sign-up today or schedule a free consultation and learn more about our math tutoring services.



